Handleiding DataWijzer Secundair Onderwijs¶
Samenvatting / Doel (max. 3 zinnen).
Disclamer¶
De DataWijzer is een instrument met als doel inzichten te genereren aan de hand van schooleigen data, in een interactie tussen de Vlaamse Onderwijsinspectie (VOI) en andere onderwijsprofessionals.
De data worden verkregen door een samenwerking met verschillende entiteiten van het Vlaams Ministerie van Onderwijs en Vorming.
De informatie weergegeven in de DataWijzer is dynamisch en wijzigt doorheen de tijd.
De VOI gebruikt de data zoals ze ter beschikking is binnen het Vlaams Ministerie van Onderwijs en Vorming.
De VOI verwerkt de data ‘as-is’ met de grootste zorg. Indien de DataWijzer ondanks deze zorg niet voldoet aan de verwachtingen van de gebruikers dan trachten we dit steeds in overleg bij te sturen.
Gezien de verordeningen uit de GDPR-wetgeving mag de datawijzer enkel gebruikt worden voor interne kwaliteitszorg.
De VOI heeft het auteursrecht van alle beelden gegenereerd door de DataWijzer.
De data die in de Datawijzer gebruikt worden, kunnen niet gedownload worden, aangezien anders buiten de schooleigen data ook gegevens van andere scholen zichtbaar worden.
Ondersteuning bij het gebruik van de DataWijzer¶
Tijdens een periode van doorlichten, de week voordien en de week erna, kan een school met vragen over de DataWijzer terecht bij de Onderwijsinspectie. Hiervoor wordt best contact opgenomen met de teamcoördinator van het doorlichtingsteam. De Pedagogische begeleidingsdiensten hebben zich geëngageerd om - los van een doorlichting - de eerstelijnsondersteuning bij het gebruik van de DataWijzers op zich te nemen. De Onderwijsinspectie en de begeleidingsdiensten staan in nauw contact en hebben regelmatig overleg. Bij een vraag wenden scholen zich dus tot de betreffende begeleidingsdienst.
Frequentie van updates¶
De DataWijzers worden geüpdatet naar aanleiding van teldata. - medio november naar aanleiding van de teldatum 1 oktober - medio maart naar aanleiding van de teldatum 1 februari - tijdens de zomervakantie naar aanleiding van correcties op de data
Opgelet: OKI-cijfers lopen meestal 1 schooljaar, soms 2 schooljaren, achter omwille van verificatie.
Toegang tot de DataWijzer¶
Dit onderdeel geeft een beknopt overzicht van de verschillende dashboards en hun belangrijkste doelstellingen. We lichten per dashboard de kernindicatoren, doelgroep en typische gebruikssituaties toe, zodat je snel het juiste overzicht vindt.
Themabeheer in het Gebruikersbeheer via “Mijn Onderwijs”¶
Je krijgt toegang tot Datawijzer als je het recht “Mijn Onderwijs Portaal Beheerder” hebt of het recht “Mijn Onderwijs Gebruiker” met het thema “Doorlichting (openbaar)”. Je krijgt niet onmiddellijk toegang tot de DataWijzer. Het bijwerken van de toegangsrechten in de DataWijzer gebeurt dagelijks om 04.00 u. Je hebt pas toegang na de eerstvolgende bijwerking.
Meer info via de pagina Toegang TOT MIJN ONDERWIJS
Persoonlijke toegang tot de DataWijzer¶
Via onderstaande links kunnen personeelsleden van een bepaald instellingsnummer (die via bovenstaande procedure toegang kregen) aan de DataWijzer(s) van alle vestigingsplaatsen waar leerlingen van betreffende instelling school lopen of liepen: Secundair Onderwijs: https://datawijzer.onderwijsinspectie.be/so
OPGELET: Het kan nodig zijn om het cache-geheugen van de internetbrowser leeg te maken om toegang te krijgen tot de vernieuwde DataWijzer. Als u problemen ondervindt om in te loggen via de link is dit wellicht de reden.
De begrippen instelling, vestigingsplaats en UNIT¶
Een onderwijsinstelling staat onder leiding van een directeur. Elke instelling krijgt een instellingsnummer in de instellingendatabank.
Een instelling kan één of meer vestigingsplaatsen hebben. Een vestigingsplaats is een gebouw of gebouwencomplex waarin de instelling, geheel of gedeeltelijk, gehuisvest is. Een vestigingsplaats wordt gekenmerkt door een geografische locatie. Vestigingsplaatsen van verschillende instellingen kunnen dezelfde geografische locatie delen. Elke vestigingsplaats is echter een unieke combinatie van een deel van een instelling en een geografische locatie. De vestigingsplaats krijgt naast een instellingsnummer ook een intern volgnummer dat verwijst naar de locatie. Het instellingsnummer in combinatie met het intern volgnummer van de vestigingsplaats geeft een unieke code voor elke vestigingsplaats.
De inschrijving van elke leerling in elk schooljaar op een bepaald telmoment is exclusief gekoppeld aan 1 vestigingsplaats.
Personeelsleden en omkadering worden gekoppeld aan instellingen.
De DataWijzer gewoon basisonderwijs neemt alle gevalideerde leerlingengegevens mee van leerlingen in het gewoon basisonderwijs van teldatum 1 februari voor alle volledig afgesloten schooljaren en van de meeste recente en gevalideerde teldatum voor het lopende schooljaar.
Er wordt steeds een verleden van 6 schooljaren (7 schooljaren inclusief het huidige) meegenomen om een loopbaan/modeltraject van een leerling in een bepaald onderwijsniveau zo volledig mogelijk in beeld te kunnen brengen.
Voor personeel en omkadering proberen we voor dezelfde periode de data in beeld te brengen.
Een UNIT is een unie van vestigingsplaatsen waartussen (nu of in het verleden) significante leerlingenstroom bestaat. Het is meestal een 3- of 6-jarige structuur, respectievelijk voor UNITS kleuteronderwijs en UNITS lager onderwijs. Significante leerlingenstroom ontstaat wanneer aan 1 van onderstaande voorwaarden is voldaan:
- Na een bepaald schooljaar (tot 6 jaar geleden) gaat minstens 70% (met een minimum van 10) van het totaal aantal leerlingen naar één welbepaalde andere vestigingsplaats.
- Vanuit een bepaald leerjaar gaan - over de laatste 6 schooljaren samen - minstens 50% (met een minimum van 10) van de leerlingen naar één welbepaalde andere vestigingsplaats.

Voorgaande voorwaarden worden versoepeld als het gaat om vestigingsplaatsen die:
- Op hetzelfde adres gelegen zijn
- Onder hetzelfde bestuur/instellingsnummer vallen
Vanuit het optimaliseren van de ontwikkeling van de lerende is het interessant om UNITS als geheel te bekijken. Het zijn datagewijs de meest geschikte basis voor analyse en vergelijking van variabelen, ook voor het gedifferentieerd doorlichten. Zo zullen leerlingen die een UNIT verlaten op dat moment beschouwd worden als onderdeel van ‘uitstroom’. Op dezelfde manier zal ook instroom worden bepaald en zullen UNITs met elkaar worden vergeleken.
Door op het HOME-dashboard UNITS te combineren en door vestigingsplaatsen van UNITS uit te sluiten, krijgt de gebruiker maximale vrijheid om de 'eigen' school samen te stellen.
De gebruiker krijgt dus data te zien die betrekking hebben op de SCHOOL, zoals ze wordt afgebakend door de gebruiker. Deze data kan worden gepositioneerd ten opzichte van (andere) UNITS. Het is wel sterk aanbevolen om omzichtig om te gaan met het aggregeren van vestigingsplaatsen die tot verschillende UNITs behoren. De UNITs hebben net als bedoeling om leerlingen te groeperen die ‘samen leren’. Aggregaties van leerlingen over UNITs heen, zijn vanuit het standpunt van de (lerende) leerling dus sowieso kunstmatig.
Voor de meeste variabelen die betrekking hebben op leerlingen kunnen de gegevens tot op het niveau administratieve groep in beeld gebracht worden.
Toegang tot de DUMMY-school¶
Linkt voor toegang BaO: Dummy school so
Volledig scherm gebruiken¶
Gebruik steeds het knopje Full Screen dat rechts onderaan het scherm te vinden is om de schermgrootte optimaal te benutten en alle beelden passend weer te geven. ![]()
Lege dashboards¶
De dashboards die tot doel hebben om de school te positioneren ten opzichte van (een selectie van) andere scholen (Distributie, Relatieprofiel, Boxplotpagina), starten leeg. De gebruiker moet allereerst een bewuste keuze maken voor graad en onderwijsvorm, zodat vergelijkingen op een zo objectief mogelijke manier gebeuren. Daarna kan er verder gefilterd worden op leerjaar en administratieve groep. Deze instelling zorgt er ook voor dat de dashboards minder laadtijd vragen.
Dashboards¶
Dit onderdeel geeft een beknopt overzicht van de verschillende dashboards en hun belangrijkste doelstellingen. We lichten per dashboard de kernindicatoren, doelgroep en typische gebruikssituaties toe, zodat je snel het juiste overzicht vindt.
Home¶
afbakening van de school door selectie van vestigingsplaatsen
Icoon: 
Na aanmelden kom je op de HOME-pagina terecht.Op de HOME-pagina is het de bedoeling om een (of meerdere) UNIT(s) te selecteren. Van deze UNIT(S) kan je daarna een of meerdere vestigingsplaatsen uitsluiten voor verdere analyse in de DataWijzer. De data van de uiteindelijk geselecteerde vestigingsplaatsen zullen geaggregeerd weergegeven worden in andere schermen.

Uitgelicht¶
Vlaamse trend
Icoon: 
De Vlaamse Onderwijsinspectie wil vanuit een meta-analyse van data opvallende trends delen met onderwijsprofessionals. Hierbij is een trend een waarneembare ontwikkeling die over een langere periode een duidelijke correlatie geeft tussen variabelen. De correlatie doet geen uitspraak over het OORZAKELIJK VERBAND tussen de variabelen. Om die reden wordt er in de toelichting een MOGELIJKE verklaring aangereikt. Deze verklaring kan het uitgangspunt vormen voor een debat en om samen kennis te ontwikkelen. Hebt u zelf ook een idee voor een meta-analyse? datateam@onderwijsinspectie.be
Mogelijke vragen bij het dashboard:
- Volgt de school de Vlaamse trend?
- In welke mate wel/niet?
- Is dit een recent fenomeen, of heeft dit steeds bestaan?
OKI-profiel¶
SES-karakeristieken van de UNIT en bepaling van ‘vergelijkbare scholen’
Icoon: 
Het OKI-profiel geeft per onderwijsvorm (of stroom) een overzicht van de positionering van de geselecteerde UNIT ten opzichte van alle andere UNITS in Vlaanderen voor wat betreft de OKI-aantikkers.

Per onderwijsvorm (of stroom) wordt heel Vlaanderen onderverdeeld in een aantal OKI-clusters. Hierdoor ontstaan 7 groepen van UNITS, waarbij UNITS in eenzelfde cluster maximaal vergelijkbaar zijn voor de gemiddelde OKI-waarde én de onderliggende waarden voor de 4 OKI-aantikkers. Voor KSO wordt het aantal clusters beperkt tot 2, omdat de clusters anders uit te weinig UNITS bestaan voor een goede vergelijkingsbasis.
Van alle OKI-clusters kan je de gemiddelde waarde voor de OKI en de 4 OKI-aantikkers terugvinden in een tabel. De knop om te positioneren geeft aan tot welke cluster de geselecteerde stroom van de UNIT behoort. Indien je in andere beelden de filter instelt op deze cluster, zal je een vergelijking (positionering) krijgen ten opzichte van OKI-vergelijkbare UNITS.

Clustering: Op basis van de gemiddelde OKI-waarde en de gemiddelde waarden van de aantikkers van elke UNIT (laatste 3 volledig afgewerkte schooljaren), wordt elke UNIT toegekend aan een cluster van vergelijkbare UNITs. Het is dus logisch dat - naarmate de grafiek sneller stijgt, de clusters kleiner worden. De verschillen tussen de UNITs worden dan immers snel groter. - er geen strikte scheiding is tussen de clusters wat betreft stijgende gemiddelde OKI. UNITs die min of meer dezelfde gemiddelde OKI hebben kunnen een ander profiel qua onderliggende aantikkers hebben. Bij de clustering wordt hier ook rekening mee gehouden zodat de cluster van vergelijkbare UNITs een zo goed mogelijke statistische referentie oplevert.
Bij elke andere variabele kan je de waarde van een bepaalde UNIT vergelijken met alle andere UNITs in Vlaanderen of met enkel die UNITs die tot dezelfde OKI-cluster behoren en/of die UNITs die tot dezelfde onderwijszone behoren.
Achterliggend algoritme: Het k-mean algoritme zorgt ervoor dat elk punt (UNIT) in een cluster zo dicht mogelijk bij het centrum van die cluster ligt. Het algoritme werkt als volgt: eerst wordt k (het aantal clusters) vastgelegd. Voor de OKI-clusters hebben we dit na onderzoek vastgelegd op 7. Vervolgens worden de centra van die k clusters willekeurig geïnitialiseerd. Het algoritme gaat daarna door in twee afwisselende stappen. Eerst wijzen we elke UNIT in de data toe aan de cluster waarvan het centrum het meest nabij is. In de tweede stap herberekenen we de locatie van elk centrum als het gemiddelde (centrum) van alle punten die aan de cluster zijn toegewezen. We herhalen deze stappen vervolgens totdat de centra niet meer van plaats veranderen en de UNITs dus ook niet meer van cluster veranderen. Via deze link kan je een simulatie zien van het K-mean algoritme, via deze link worden de wiskundige vergelijkingen achter het algoritme geduid.

Mogelijke vragen bij het dashboard:
- Tot welke cluster behoort de geselecteerde stroom?
- Geldt deze cluster voor de gehele school?
- Wat zijn de (gemiddelde) kenmerken van deze cluster?
- Welke OKI-positie neemt de school in in Vlaanderen?
- Hoe verschillen de posities van de verschillende aantikkers?
- Verandert de positie indien je enkel vergelijkt binnen de onderwijszone?
Hoofddashboard¶
schoolvariabelen in samenhang
Icoon: 
De structuur van de DataWijzers is maximaal afgestemd op de rubrieken in het referentiekader OnderwijsKwaliteit (OK). Meer info over het OK is te vinden op de website https://mijnschoolisok.be/professionals/
In het hoofddashboard kunnen mogelijke linken tussen variabelen worden ontdekt. Er wordt telkens een evolutie getoond over verschillende schooljaren.
In het HOOFD-dashboard worden alle verschillende variabelen in samenhang in beeld gebracht. Deze variabelen worden niet tot op de fijnste eenheid getoond, maar op een bepaalde manier geaggregeerd. Hierdoor wordt het mogelijk om crosslinks tussen bepaalde variabelen te bestuderen. Per variabele worden de data getoond die betrekking hebben op het meest recente schooljaar en wordt eveneens een evolutie over de schooljaren heen getoond (elke lijn bij een evolutie heeft een onafhankelijk verticaal bereik om verandering maximaal in beeld te brengen) zodat eventuele trends en trendbreuken duidelijk worden.
In de tooltip worden steeds zowel de absolute cijfers als de percentages vermeld.
Mogelijke vragen bij het dashboard:
- Hangen de waarden van bepaalde variabelen mogelijks samen met andere variabelen?
- Zijn er voor bepaalde variabelen trends of trendbreuken die opvallen? Zijn hier mogelijke verklaringen voor?
Relatieprofiel¶
patronen tussen 2 variabelen op schoolniveau
Icoon: 
Het relatieprofiel visualiseert de relatie tussen de (gemiddelde) waarde van 2 variabelen van een school en positioneert deze ten opzichte van andere UNITS. Je kan zowel de variabele kiezen die moet worden weergegeven op de horizontale as, als de variabele die moet worden weergegeven op de verticale as. Indien voor een bepaalde combinatie van variabelen een patroon ontstaat, kan je nagaan of de school deze trend al dan niet volgt. Zoals steeds, volgt uit een relatie niet noodzakelijk een oorzakelijk verband.
In het relatieprofiel wordt telkens ook een trendlijn getekend. De ‘R-squared’ van de trendlijn (die in de tooltip staat), geeft een indicatie van de voorspellende waarde van de trendlijn. R-squared-waarden die in de buurt of hoger dan 0,5 liggen, wijzen op een relatief sterke relatie tussen de geselecteerde variabelen.
Mogelijke vragen bij het dashboard:
- Voor welke combinaties van variabelen bevindt de school zich ‘buiten de wolk?
- Aan welke kant van de trendlijn?
Boxplotprofiel¶
relatieve identiteit van de school voor alle variabelen samen
Icoon: 
Welke variabelen van de school wijken (per graad en onderwijsvorm) significant af ten opzichte van andere UNITs in Vlaanderen? Het boxplotprofiel geeft in 1 dashboard het overzicht van een bepaalde graad en onderwijsvorm, waarbij je via de filterknoppen de de referentiegroep kunt beperken. Voor de variabelen die relateren aan leerlingenkenmerken kan je kiezen om de referentiegroep te beperken tot de onderwijszone; voor de andere variabelen kan je de referentiegroep beperken tot de OKI-referentiegroep. De positie van de groep in de boxplot laat toe om per variabele snel een uitspraak te doen over het (uitzonderlijk) hoog, (uitzonderlijk) laag of mediaan zijn van de waarde van deze variabele. Enkel leerlingengroepen met in totaal meer dan 12 leerlingen worden getoond in de BOXPLOTS, omdat uitspraken anders statistisch niet relevant zijn.
OPGELET: links bovenaan moet je eerst een keuze maken uit de units die je op het homedashboard geselecteerd hebt, ook als je maar 1 unit had geselecteerd. De eventuele uitsluiting van vestigingsplaatsen van een unit blijft behouden zoals op het homedashboard.
Mogelijke vragen bij het dashboard:
- Verandert de uitspraak voor de school (relatief hoog, laag, mediaan…) indien een andere referentiegroep wordt gekozen?
- Is er evolutie in de tijd?
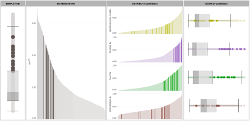
Distributie¶
relatieve identiteit van de school per variabele
Icoon: 
Om het mogelijk te maken voor een UNIT om een relatieve identiteit op te bouwen en een beeld te vormen hoe de eigen waarden van een bepaalde variabele zich verhouden ten opzichte van dezelfde variabele van andere UNITS, wordt een distributie gebruikt. Een distributie toont voor een bepaalde variabele en een bepaalde doelgroep de vergelijking tussen de schooleigen waarden en die van andere UNITS.
Distributies bestaan uit 3 elementen:
- SORTERING - ordening van (leerlingengroepen van) UNITS volgens de waarde van een variabele. Elke UNIT wordt weergegeven als een verticale staaf. De lengte van de staaf vertegenwoordigt het aantal of aandeel leerlingen.
- BOXPLOT- specifieke sortering waarbij verschillende referentiewaarden weergegeven worden zoals de mediaan en de kwartielen. In de box bevindt zich de helft van de UNITS.
Elke UNIT wordt weergegeven door een bolletje. De bolletjes worden gesorteerd volgens de waarde van de variabele. In de box is er een donker gekleurde zone waarin de UNITS zich bevinden met een waarde die kleiner is dan de mediaan. In de box is een lichter gekleurde zone waarin de UNITS zich bevinden met een waarde groter dan de mediaan. De ‘mediaan UNIT’ bevindt zich op de overgang van licht naar donker. Ook hier kan worden gepositioneerd.
- POSITIONERING – zichtbaar maken van de plaats van een bepaalde UNIT in een sortering. Door op de knop positionering te klikken wordt de staaf van de eigen UNIT opgelicht. Op die manier wordt de positie in de sortering zichtbaar en wordt het duidelijk of het een UNIT is met eerder een kleiner, gemiddeld of groter aantal of aandeel.
Je kan eventueel de doelgroep en de referentiegroep nog verder verfijnen, de gebruiker heeft hier zelf de regie in handen en kan aan de hand van de filtermogelijkheden de meest gepaste vergelijking maken.
Mogelijke vragen bij het dashboard:
- Schuift de positie van de school ten opzichte van andere UNITS op, indien andere schooljaren in beeld komen?
- Zijn er opvallende leerjaren?
- Hoe veranderen de distributie en de positionering als ik het beeld beperk tot de betreffende OKI-cluster?
Detail¶
via een detailspiegel per graad en onderwijsvorm naar de meest granulaire info over een variabele
Icoon: 
Vooraleer je een variabele tot op het fijnste detailniveau kunt bekijken, krijg je eerst de detailspiegel. In de detailspiegel vind je de waarden van de eigen school op het niveau van de graad en de onderwijsvorm (linkerkant) gespiegeld ten opzichte van dezelfde waarden van een referentiegroep. Standaard staan de referentiewaarden op de Vlaamse gemiddelden - via de filterknoppen kan je beperken tot onderwijszone en/of OKI-referentiegroep. Je kan meerdere knoppen selecteren (shift-toets gebruiken). Je kan een knop aan en uitzetten. Rond een knop die ‘aan’ staat verschijnt een zwarte kader.
In dit dashboard is het de bedoeling dat je waarden van de eigen school snel met elkaar kunt vergelijken en tegelijkertijd ook kunt bekijken welke waarden opvallen ten opzichte van de referentiegroep. Zo kan je gericht nog meer in detail verder onderzoeken. Dit doe je door rechtsbovenaan het +knopje te gebruiken.
Icoon: 
Elke variabele kan tot op het fijnste niveau (de administratieve groep) en voor de verschillende schooljaren bekeken worden. Via de tooltip wordt ook een referentiewaarde (Vlaams gemiddelde) getoond voor dezelfde groep en voor dezelfde tijdsspanne.
In het detailbeeld kan het - gezien de granulariteit van het beeld - gebeuren dat er zeer kleine groepen ontstaan. Generaliserende uitspraken zijn in dat geval niet aan de orde.
Mogelijke vragen bij het dashboard:
- Zijn er leerlingengroepen (bijvoorbeeld leerjaren) te vinden die zich (systermatisch) anders gedragen voor een bepaalde variabele?
Flow¶
Patronen in de loopbanen van leerlingen (per variabele)
Icoon: 
Via het Mondriaan-icoontje kom je op het FLOW-dashboard waarbij je de variabele die in beeld moet komen kan instellen.

Elke leerling in een bepaald schooljaar (verticaal) en een bepaald leerjaar (horizontaal) wordt voorgesteld door een rechthoek. In een bepaald leerjaar en een bepaald schooljaar heeft elke rechthoek dezelfde grootte. De kleur van een rechthoek geeft de categorische waarde weer van die leerling ten opzichte van de bestudeerde variabele (volgens legende). Op die manier ontstaat een visual die de verspreiding van de categorieën van een bepaalde variabele voor 7 schooljaren en over alle leerjaren heen toont tot op het niveau van elke leerling in de geselecteerde UNIT(S). In de tooltip bij elke leerling staat nog extra informatie. In een bepaald schooljaar en een bepaald leerjaar kan de groep leerlingen nog verder onderverdeeld zijn. De verschillende subgroepen zijn te onderscheiden door de witruimte. Op die manier is het mogelijk om binnen een bepaald leerjaar in een bepaald schooljaar de leerlingen te herkennen van bijvoorbeeld een bepaalde administratieve groep of een bepaalde vestigingsplaats.
Door een selectie te maken van een of meerdere leerlingen in een bepaald leerjaar en een bepaald schooljaar (die een groep of subgroep vormen, die een bepaalde categorische waarden hebben) wordt de stroom van deze leerling(en) zichtbaar in het volledige beeld. Er verschijnt ook een analysevenster dat de absolute aantallen geeft van de geselecteerde leerlingen per schooljaar en per leerjaar. Op die manier kan worden ontdekt of leerlingen een modeltraject afleggen (diagonaal) dan wel vertraging oplopen (afwijkend van de diagonaal). Het analysevenster geeft de absolute retentiviteit van een groep leerlingen in DEZELFDE UNIT.

Mogelijke vragen bij het dashboard:
- Zijn er bepaalde leerlingenkenmerken die systematisch (patroon over verschillende jaren heen) samenhangen met vertraging en/of uitschrijving uit de school?
Diversiteit¶
Verscheidenheid op leerlingniveau in de richtingen/leerjaren van de school (per schooljaar)
Icoon: 
Door in een bepaald schooljaar en stroom te kiezen voor 1 of meerdere administratieve groepen en leeftijden, kan de diversiteit van deze groep leerlingen die samen leren zo goed mogelijk in beeld gebracht worden.
Net zoals in de FLOW kan je hier een groep van leerlingen selecteren en worden deze leerlingen in het volledige beeld zichtbaar gemaakt. Op deze manier kan je ontdekken hoe/of binnen een bepaalde groep variabelen met elkaar in relatie staan.
De variabele ‘tikt aan voor schooltoelage’ is niet selecteerbaar in de diversiteitskaart, omwille van stapeling van variabelen.
Een selectie van leerlingen bij de variabele ‘uitschrijvingen’ is niet te zien bij andere variabelen omdat deze leerlingen zich uitschreven.

Mogelijke vragen bij het dashboard:
- Welke leerlingen leren samen?
- Zijn er bepaalde kenmerken die opvallen en waar we mee aan de slag kunnen om een proactieve aanpak/begeleiding uit te stippelen?
Schermafdruk¶
Icoon: 
Via deze knop kan je een schermafdruk opslaan, met de instellingen (filter, highlight) zoals op dat moment ingesteld. De afbeelding krijgt automatisch de naam van het betreffende dashboard, maar dat kan je ook aanpassen/aanvullen. Indien je ook een tooltip wil opslaan, moet je de schermafdruk genereren via een tool van het besturingssysteem (knipprogramma, specifieke toetsencombinatie) Achterliggende data die gebruikt worden om het dashboard op te bouwen, kunnen om privacy-redenen niet gedownload worden.
Variabelen¶
Dit onderdeel beschrijft de gebruikte variabelen en hoe deze zijn gebruikt voor de distributies.
Omkadering¶
Het venster van de instellingskenmerken opent leeg. Je kan 1 instelling selecteren door op het betreffende knopje te drukken.
We brengen de toegekende omkadering uren leraar (uitgezonderd deze voor levensbeschouwelijke vakken), gok en aanvangsbegeleiding in beeld van iedere instelling die betrokken is bij de gemaakte selectie in het HOME-dashboard.
Personeel¶
Het venster van de instellingskenmerken opent leeg. Je kan 1 instelling selecteren door op het betreffende knopje te drukken.
We brengen hier het aantal personeelsleden van alle categorieën in beeld, ongeacht de omvang van hun opdracht. De getoonde aantallen zijn op het instellingsniveau. Alle instellingen die betrokken zijn bij de selectie van units in het hoofddashboard worden getoond.
We nemen elk uniek personeelslid mee dat een opdracht heeft binnen een instelling, in een bepaald schooljaar, ongeacht de omvang van hun opdracht. We filteren bijkomend op ‘effectief personeelslid’ waardoor een personeelslid dat binnen een referentieperiode onvoldoende aanwezig (minder dan 3 maanden) is, niet wordt meegeteld. Dus vervangers zullen ook enkel verschijnen als ze langer dan 3 maanden in een volledig schooljaar een opdracht hebben in de school in de desbetreffende categorie. Dit hoeft niet ter vervanging van hetzelfde personeelslid te zijn en ook niet aansluitend.
Het kan zijn dat personeelsleden meerdere keren geteld worden als ze binnen dezelfde instelling een opdracht opnemen in verschillende categorieën.
De ambten zijn ingedeeld in verschillende personeelscategorieën: administratief, bestuurs- en onderwijzend, opvoedend hulp, meester-, vak- en dienstpersoneel. Een aantal voorbeelden van ambten per personeelscategorie: - Bestuurs- en onderwijzend personeel: directeur, technisch adviseur, kleuteronderwijzer, onderwijzer, leraar, leraar algemene en sociale vorming, lector - Beleids- en ondersteunend personeel: zorgcoördinator, ICT-coördinator, administratief medewerker - Ondersteunend personeel: opvoeder, administratief medewerker - Opvoedend hulppersoneel: studiemeester-opvoeder - Paramedisch personeel: kinderverzorger, verpleger, logopedist - Sociaal personeel: maatschappelijk werker - Medisch personeel: arts - Orthopedagogisch personeel: orthopedagoog - Psychologisch personeel: psycholoog - Technisch personeel (CLB): arts, psychopedagogisch consulent, paramedisch werker
Directie(wissels)¶
De personeelsleden die geregistreerd staan onder het ambt ‘directeur’ en ‘adjunct-directeur’, worden hier per schooljaar weergegeven. Elke rij representeert een uniek rijksregisternummer.
Inschrijvingen¶
De variabele “inschrijvingen” geeft de waarde van alle actieve inschrijvingen op het fotomoment 1 februari van het getoonde schooljaar, uitgezonderd voor het meest recente schooljaar waarbij afhankelijk van het moment van het raadplegen van de DataWijzer het fotomoment 1 oktober of 1 februari geldt. In sommige dashboards worden de inschrijvingen verder onderverdeeld in leeftijdscategorieën.
De leeftijd wordt als volgt berekend: eerste lid van het schooljaar - geboortejaar. Bijvoorbeeld: een leerling die zich in het schooljaar 2024-2025 inschrijft in het secundair onderwijs en die geboren is in 2010 heeft een administratieve leeftijd van 14 jaar.
OKI¶

De Onderwijs Kansarmoede Indicator (OKI) is een getal tussen 0 en 4. Het is een samengestelde maat om een idee te krijgen van het sociaal profiel van een persoon. Dit getal is het aantal indicatoren voor kansarmoede (schooltoelage, buurt met schoolachterstand, opleidingsniveau moeder, thuistaal) waarvoor een persoon aantikt.
- Een leerling tikt aan voor thuistaal als de taal die de leerling meestal spreekt in het gezin niet de onderwijstaal is. De taal die de leerling in het gezin spreekt is niet de onderwijstaal indien de leerling in het gezin met niemand of in een gezin met drie gezinsleden (de leerling niet meegerekend) met maximum één gezinslid de onderwijstaal spreekt. Broers en zussen worden als één gezinslid beschouwd.
- Een leerling tikt aan voor het opleidingsniveau van de moeder als de moeder niet in het bezit is van een diploma van het secundair onderwijs of van een getuigschrift van het tweede leerjaar van de derde graad van het beroepssecundair onderwijs of van een daarmee gelijkwaardig studiebewijs. Als het opleidingsniveau niet gekend is, tikt de leerling hier niet op aan. De bron van deze gegevens is de verklaring op eer die de ouders invullen.
- Op basis van zijn of haar woonplaats kan er aan elke leerling een “Percentage 15-jarigen in de buurt waar de leerling woont met minstens 2 jaar schoolse vertraging” gelinkt worden. Na rangschikking van alle leerlingen uit het basis- en het secundair onderwijs op basis van dit kenmerk, worden enkel die leerlingen in het hoogste kwartiel beschouwd als leerlingen die in een buurt met hoge mate van schoolse vertraging wonen. Dit betekent dat 25% van alle leerlingen zal aantikken op dit kenmerk buurt. De bepaling gebeurt apart voor basis- en secundair onderwijs. Een buurt is in Vlaanderen een statistische sector en in het Brussels Hoofdstedelijk Gewest een fusiegemeente.
- Een leerling scoort op de indicator schooltoelage als hij/zij in aanmerking komt voor een schooltoelage (via het Vlaamse Groeipakketdecreet). In bepaalde gevallen kan een leerling zijn recht op schooltoelage “verliezen” bv. bij veelvuldig spijbelen. Dit heeft geen invloed op de indicator. Zelfs als een leerling omwille van pedagogische redenen zijn recht op een studietoelage zou verliezen, blijft hij of zij een risicoleerling.
Het aantal en het aandeel leerlingen weergegeven met 0, 1, 2, 3, 4 of onbekend aantal OKI-kenmerken.
Voor de distributies (sorteringen en boxplots) werden volgende keuzes gemaakt wat betreft de aandelen (%):
- aantal niet-aantikkers thuistaal / totaal aantal leerlingen waarvan de OKI bekend is. Deze staaf of bol stelt dus het aandeel leerlingen voor waarvan geregistreerd is dat de taal die deze leerlingen in het gezin meestal spreken het Nederlands is, ten opzichte van het totaal aantal leerlingen waarvoor de thuistaal geregistreerd is.
- aantal niet-aantikkers opl moeder / totaal aantal leerlingen waarvan de OKI bekend is. Deze staaf of bol stelt dus het aandeel leerlingen voor waarvan geregistreerd is dat moeder in het bezit is van een diploma van het secundair onderwijs of van een getuigschrift van het tweede leerjaar van de derde graad van het beroepssecundair onderwijs, ten opzichte van het totaal aantal leerlingen waarvoor het opleidingsniveau van de moeder geregistreerd is.
- aantal niet-aantikkers schooltoelage / totaal aantal leerlingen waarvan de OKI bekend is. Deze staaf of bol stelt dus het aandeel leerlingen voor die recht hebben op een schooltoelage, ten opzichte van het totaal aantal leerlingen.
- aantal niet-aantikkers buurt / totaal aantal leerlingen waarvan de OKI bekend is. Deze staaf of bol stelt dus het aandeel leerlingen voor die in een buurt met lage mate (percentiel 75) van schoolse vertraging wonen, ten opzichte van het totaal aantal leerlingen.
- aantal leerlingen die aantikken voor 0 kenmerken/ totaal aantal leerlingen waarvan de OKI bekend is.
Instroom¶

Een leerling is een instromer indien deze het vorige schooljaar niet in dezelfde unit was ingeschreven op 1 februari. Een leerling die vorig schooljaar in dezelfde unit was ingeschreven, is geen instromer.
Voor de distributies (sorteringen en boxplots) werden volgende keuzes gemaakt wat betreft de aandelen (%): - aantal lln die doorstromen van het vorige schooljaar (geen instromer-geen zittenblijver)/ totaal aantal leerlingen. Deze staaf of bol stelt dus het aandeel leerlingen voor dat vorderde binnen de eigen UNIT.
Uitstroom¶

Een leerling is een uitstromer indien deze het volgende schooljaar niet in dezelfde unit is ingeschreven op 1 februari. Een leerling die volgend schooljaar in dezelfde unit is ingeschreven, is geen uitstromer.
Voor de distributies (sorteringen en boxplots) werden volgende keuzes gemaakt wat betreft de aandelen (%): - aantal lln die doorstromen van het vorige schooljaar (geen instromer-geen zittenblijver)/ totaal aantal leerlingen. Deze staaf of bol stelt dus het aandeel leerlingen voor dat op het einde van het betreffende schooljaar zal vorderen binnen de eigen UNIT.
Ongewettigde afwezigheden¶

Bij de ongewettigde afwezigheden wordt het aantal en aandeel leerlingen weergegeven dat ongewettigd afwezig was (spijbelen). De categorieën 0, 1-4, 5-9, 10-19, 20-29, 30+ halve dagen afwezigheid worden hierbij gebruikt.
Afwezigheden die door een school gewettigd worden, worden niet als ongewettigde afwezigheden geregistreerd.
Het aantal halve dagen afwezigheden wordt door een leerling opgebouwd gedurende een schooljaar, ongeacht de school waar ze worden geregistreerd.
Voor de distributies (sorteringen en boxplots) werden volgende keuzes gemaakt wat betreft de aandelen (%): - aantal leerlingen ‘minder dan 10 hd probl afw’ / totaal aantal leerlingen waarvoor de afwezigheid werd geregistreerd. De bol of staaf stelt dus het % lln voor die minder dan 10 halve dagen ongewettigd afwezig zijn.
Afwezigheden wegens ziekte¶

Bij de afwezigheden wegens ziekte wordt het aantal en aandeel leerlingen weergegeven dat gewettigd (ziekte) afwezig was. De categorieën 0, 1-4, 5-9, 10-19, 20-29, 30+ halve dagen afwezigheid worden hierbij gebruikt.
Het aantal halve dagen afwezigheden wordt door een leerling opgebouwd gedurende een schooljaar, ongeacht de school waar ze worden geregistreerd.
Voor de distributies (sorteringen en boxplots) werden volgende keuzes gemaakt wat betreft de aandelen (%): - aantal leerlingen ‘minder dan 10 hd afw ziekte’ / totaal aantal leerlingen waarvoor de afwezigheid werd geregistreerd. De bol of staaf stelt dus het % lln voor die minder dan 10 halve dagen afwezig zijn wegens ziekte.
Attesteringen¶

Bij de attesteringen wordt het aandeel leerlingen per oriënteringsattest of studiebewijs (indien een oriënteringsattest ontbreekt) weergegeven.
Voor de distributies (sorteringen en boxplots) werden volgende keuzes gemaakt wat betreft de aandelen (%): - aantal leerlingen die een A-attest behalen / totaal aantal leerlingen waarvoor een A-, B- of C- attest werd geregistreerd. De bol of staaf stelt dus het % lln met A-attest voor.
Deelname HO¶

Bij deelname Hoger Onderwijs (HO) wordt voor alle leerlingen die in het betreffende schooljaar een diploma SO verwerven, bepaald of ze 1 schooljaar na het behalen van dat diploma een inschrijving hebben aan een instelling HO in Vlaanderen. Verder wordt in beeld gebracht aan welk type opleiding de leerling deelneemt.
Voor de distributies (sorteringen en boxplots) werden volgende keuzes gemaakt wat betreft de aandelen (%): - het aantal leerlingen die 1 schooljaar na het behalen van het diploma een inschrijving hebben aan een instelling HO in Vlaanderen / totaal aantal leerlingen dat in het betreffende schooljaar een diploma SO verwerft. De bol of staaf stelt dus het % lln die deelnemen aan HO in Vlaanderen voor.
Studiesucces HO¶

Bij studiesucces wordt voor die leerlingen die deelnemen aan Hoger Onderwijs (1 jaar na het verlaten van SO) bepaald wat de verhouding is van het aantal verworven studiepunten ten opzichte van het aantal opgenomen studiepunten. Dit is het % studiesucces. In de FLOW wordt onderscheid gemaakt tussen leerlingen die meer of minder dan 60% studiesucces hebben omdat dit de grens is voor studievoortgang (zonder restricties) .
Voor de distributies (sorteringen en boxplots) werden volgende keuzes gemaakt wat betreft de aandelen (%): - het gemiddeld aantal verworven studiepunten / gemiddeld aantal opgenomen studiepunten. De bol of staaf stelt dus het % studiesucces van lln die deelnemen aan HO in Vl voor.
Uitschrijvingen¶

Met de variabele uitschrijvingen worden die leerlingen in beeld gebracht die gedurende een bepaald schooljaar een actieve inschrijving hadden in de UNIT, maar op 30 juni van datzelfde schooljaar niet meer. Het zijn dus leerlingen die zich gedurende het schooljaar (vroegtijdig) uitschrijven uit de UNIT. Bijkomend wordt in beeld gebracht of de leerling al dan niet het schooljaar verderzet en al dan niet in een andere administratieve groep. Ook de reden van de uitschrijving (zoals geregistreerd door de instelling) wordt vermeld.
Ook als de leerling zich niet uitschrijft uit de UNIT maar wel een wissel doet van administratieve groep binnen de UNIT wordt dit in beeld gebracht (in detailbeelden).
In de flow, in distributies, in het relatie- en boxplotprofiel is deze variabele niet beschikbaar. Omwille van de meestal kleine aantallen is deze variabele niet geschikt voor positioneringen.
(schoolse) vordering¶

Schoolse vordering wordt bepaald door een vergelijking van het leerjaar waarin de leerling is ingeschreven met het leerjaar waarin de leerling op grond van zijn geboortedatum, bij een normale start en bij normale studievoortgang, ingeschreven zou moeten zijn. De leeftijd wordt als volgt berekend: eerste lid van het schooljaar - geboortejaar. Bijvoorbeeld: een leerling die zich in het schooljaar 2024-2025 inschrijft in het basisonderwijs en die geboren is in 2010 heeft een leeftijd van 14 jaar.
Voor leerlingen van de secundaire school (uitgezonderd methode-onderwijs) kan de schoolse vordering schoolse vertraging, normaal gevorderd of schoolse voorsprong zijn. Schoolse voorsprong is het aantal leerjaren voorsprong dat een leerling heeft ten opzichte van het leerjaar waarin hij/zij zich normaal zou bevinden als hij/zij op tijd zou starten en normaal zou vorderen. Schoolse achterstand is het aantal leerjaren achterstand dat een leerling oploopt ten opzichte van het leerjaar waarin hij/zij zich normaal zou bevinden. Dit kan worden veroorzaakt door een verlate instap in het secundair onderwijs of andere factoren, zoals zittenblijven.
Voor de distributies (sorteringen en boxplots) werden volgende keuzes gemaakt wat betreft de aandelen (%): - aantal leerlingen die normaal gevorderd zijn / totaal aantal leerlingen waarvoor schoolse vordering werd geregistreerd.
Nationaliteit¶

De nationaliteit die in de DataWijzer verwerkt wordt, is de officiële nationaliteit uit het rijksregister, tenzij deze niet gekend is. In het laatste geval gebruiken we de nationaliteit die de school registreert.
We maken een onderscheid tussen - Leerling met nationaliteit Belg - Leerling die niet de Belgische nationaliteit heeft, maar wel een nationaliteit heeft van een land dat behoort tot de Europese Unie - Leerling die een nationaliteit heeft van een land dat niet behoort tot de Europese Unie
De officiële nationaliteit is “Belg” als de leerling (ook) Belg is, ook al is er ook nog een andere nationaliteit. Bij registratie door de school kiest de school welke nationaliteit ze doorgeeft in het geval dat een leerling meerdere nationaliteiten heeft.
Voor de distributies (sorteringen en boxplots) werden volgende keuzes gemaakt wat betreft de aandelen (%): - aantal leerlingen die de nationaliteit ‘Belg’ hebben/ totaal aantal leerlingen waarvoor de nationaliteit werd geregistreerd
Vlaamse toetsen¶
(release voor scholen wordt asap voorzien)
De resultaten van de Vlaamse toetsen van voorbije schooljaren worden in de DataWijzer verwerkt in het HOOFD-dashboard, DETAIL-dashboard, DISTRIBUTIE-dashboard en BOXPLOT-dashboard.
Op het HOOFD-dashboard staan per schooljaar de aandelen van resultaten - voor basisgeletterdheid het aantal en aandeel ‘leerlingen die eindtermen basisgeletterdheid heeft ‘behaald’ of ‘niet behaald’, waarbij voor beide categorieën een onderscheid wordt gemaakt tussen ‘zeker’ en ‘onzeker’ - voor de stroom- (A-stroom, B-stroom) gebonden eindtermen per toets het aantal en aandeel leerlingen die eindtermen heeft ‘behaald’ of ‘niet behaald’, waarbij voor beide categorieën een onderscheid wordt gemaakt tussen ‘zeker’ en ‘onzeker’ - voor alle toetsen het aantal en aandeel leerlingen per vaardigheidsniveau Voor meer informatie kan je ook terecht op https://data-onderwijs.vlaanderen.be/documenten/bestanden/factsheet-2025-2SOA-alle-toetsen.pdf
De resultaten van de toetsen worden uitgedrukt in vaardigheidsniveaus. Een vaardigheidsniveau beschrijft wat leerlingen kennen en kunnen voor een thema. Er zijn 5 vaardigheidsniveaus, van E (het laagste) tot en met A (het hoogste). Voor elk toetsonderdeel hebben de vaardigheidsniveaus een andere betekenis. De vaardigheidsniveaus van de verschillende toetsonderdelen kan je dus niet met elkaar vergelijken.
Eindtermen geven aan wat leerlingen minimaal moeten kennen en kunnen op het einde van een onderwijsniveau. De Vlaamse toetsen meten of een leerling de getoetste eindtermen bereikt heeft of nog niet. De grens tussen ‘behaald’ en ‘niet behaald’ noemen we de cesuur. Die cesuur ligt altijd op de overgang tussen 2 vaardigheidsniveaus (bijvoorbeeld tussen vaardigheidsniveau D en C, of tussen vaardigheidsniveau C en B), maar de precieze plaats ervan verschilt per toets. De Vlaamse toetsen houden rekening met de gelijkwaardige eindtermen De eindtermen voor het secundair onderwijs in de 1ste graad werden na de modernisering in 2019 opnieuw herzien tijdens het schooljaar 2023-2024. De Vlaamse toetsen voor het 2de jaar van het secundair onderwijs in het schooljaar 2024-2025 zijn gebaseerd op de gemoderniseerde eindtermen die geldig waren vóór de herziening.
Het DISTRIBUTIE-dashboard stelt de gebruiker in staat om de school (geselecteerde vestigingsplaatsen) te positioneren ten opzichte van alle andere units in Vlaanderen, voor elk vaardigheidsniveau, voor elke toets, voor elk schooljaar.
In het BOXPLOT-dashboard wordt het aandeel leerlingen met vaardigheidsniveau A, B of C uitgezet ten opzichte van dit aandeel voor alle UNITS. Enkel de toetsen worden getoond waaraan alle scholen in Vlaanderen deelnamen. Vooralsnog is het niet mogelijk om voor de Vlaamse toetsen de OKI-cluster of de onderwijszone als referentiegroep te gebruiken.
